
Gene Therapy Poised to Redefine Obesity Treatment Landscape
1/GLP-1 obesity and weight-loss drugs - such as $NVO Ozempic & Wegovy and $LLY Zepbound & Mounjaro have long become a household name - making Obesity the fastest growing market in the BioTech and Pharma ecosystem and generating unprecedented revenues. This excellent Washington post’s article by @ByDanielGilbert describes the next generation of obesity treatments which hold an even bigger promise for obesity patients - a customised “one and done” Gene therapy treatment which could potentially reshape the entire way in which these patients are being treated today. The main focus of this excellent piece is $GUTS and its proprietary Obesity Gene Therapy candidate named Rejuva as well as $WVE and $ARWR RNA INHBE programs which are also mentioned. 🧵👇 $XBI

Hidden Gems: Overlooked Patek Philippe Models Worth Noticing
Underrated and underappreciated. Here are some watches from Patek Philippe’s catalogue that seem to have fallen between the cracks. #patekphilippe #nautilus #aquanaut #calatrava #2026
Prioritize Peakspan Over Healthspan in Drug Discovery
I think that it is easier to measure Peakspan than Healthspan. And something we should study hard. I don't want just healthspan - I want to be at my peak. Not for myself but for all of you - we...

High School Reading Rates Plummet Since 1976
In 1976, 38% of 12th graders read 6 or more books for pleasure a year. By 2022, that number plummeted to 13%. In 1976, only 12% of 12th graders read 0 books a year. By 2022, that number skyrocketed to 40%. How can we...
Daily Fear: Push Yourself Beyond Comfort Zones
"Do One Thing Every Day That Scares You" - debut From The Trenches blog from Linda Bain, serial biotech executive and Venture Partner at Atlas, on pushing yourself to the uncomfortable... https://t.co/eyXGovi3FX
Run Your Entire Business Inside Perplexity Computer
I can run my entire business with Perplexity Computer without navigating away from the app itself. Absolutely wild productivity.

London Samurai Exhibit Showcases Unmatched Japanese Craftsmanship
Took opportunity while in London to visit British Museum Samurai Exhibition. Always impressed by beauty & detail of Japanese 🇯🇵 craftsmen & artists. Very few do it better. https://t.co/cfAV1qDicA
Skip OpenClaw: 50 Hours, $600, No Results
𝗜 𝗦𝗽𝗲𝗻𝘁 𝟱𝟬 𝗛𝗼𝘂𝗿𝘀 𝗮𝗻𝗱 $𝟲𝟬𝟬 𝗼𝗻 𝘁𝗵𝗲 𝗠𝗼𝘀𝘁 𝗛𝘆𝗽𝗲𝗱 𝗔𝗜 𝗧𝗼𝗼𝗹 𝗼𝗳 𝟮𝟬𝟮𝟲 Last week I was home sick with a cold. My body was begging for rest. But I’m an Enneagram 3. Threes don’t rest. We produce. So instead of...
Tailor Taper Length to Fatigue, Not a Fixed Rule
When tapering for a race, it’s important to take into account accumulated fatigue. Don’t just do a 3 week taper because it’s “standard”. The purpose of a taper is to reduce accumulated fatigue from a tough training block. A high...
The Strokes Debut “Going Shopping” Via Mailed Cassette.
The Strokes share new song “Going Shopping” via cassette shipped to fans and debut it live in San Francisco https://t.co/xR4PZL1svu

Half‑Kneeling Wall T‑Spine Mobilization: Scalable Variations for All
The half-kneeling wall t-spine mobilization is one of our favorites for getting the upper back moving. Many people don’t know that there are different variations/progressions you can incorporate to deliver incremental benefits in different populations: https://t.co/z8gVvEFWFR https://t.co/rJku1EpSwe
Explore A. Lange & Söhne’s Factory Through a Digital Journey
I had the chance to step inside the A. Lange & Söhne manufacture in Glashütte with the FT. Come with me on this trip via a digital reading experience unlike any other. If you're unsure how to read it, just keep...
Microdosing Lacks Scientific Validity and Therapeutic Effect
What does 'microdosing' even mean in this context? It is likely to have no therapeutic effect at all. You might as well just drop it in the ocean. This is not a scientific valid strategy.

Intense Training Boosts Bedtime, Cuts Sleep Efficiency, Lowers Mood
In trained cyclists, a short period of intensified training increased time in bed but reduced sleep efficiency and worsened mood state. Read the blog: https://t.co/xtQ3jbbpdH https://t.co/TmxGD9M7ld

Humanity and Excellence Thrive Together in Supportive Healthcare Cultures
If you work in medicine, you know the feeling of being asked to deliver more while the system quietly strips away the humanity required to do the job well. That is what makes this episode of The Podcast by KevinMD worth...
Essential Low-Cost Tests for Longevity Baseline
Longevity testing starter pack: 1. VO2 max/Cooper test - cardiorespiratory fitness 2. Grip strength - muscle mass and strength 3. Blood pressure - cardiovascular disease risk 4. DEXA scan - muscle and bone density 5. Blood panel - a dozen most common blood markers 6. Waist...
Sushi Tastes Better in a Bowl, Not a Plate
Sushi is a lot nicer if you eat it from a bowl than from a plate. It seems a bit odd that the people who gave us Toyota, Casio, Sony and the LED lightbulb failed to notice this for 500...

Ultra-Endurance Running May Speed Up Aging, RBC Damage
Ultra-Endurance Running May Accelerate Aging and Breakdown of Red Blood Cells | @ASH_hematology https://t.co/aYbsblfTwZ https://t.co/NYSKw0843c
Connection Outweighs Proximity; Presence Still Matters.
Connection > proximity. Even when you’re away, your presence still matters. Listen now: https://t.co/ul8gmLhkgz #DadLife

A Child's Prayer: Love over Hate After Terror
Willa, my godchild, was three, and lived 2 blocks from the WTC on Sept 11, 2001. She was 7 years old at the time of the London metro bombing. On being told about the London terrorism, her eyes filled with...
Self‑mastery and Unbowed Resilience in the Face of Adversity
Two thoughts from William Ernest Henley “It matters not how strait the gate, How charged with punishments the scroll, I am the master of my fate: I am the captain of my soul.” “Under the bludgeonings of chance, My head is bloody, but unbowed.”

Bootstrapped Cryo‑AI: LLMs Power Life‑Saving Freeze Tech
Meet Dr. Mark Woodward, undergrad and grad from Stanford, PhD from Harvard, Many years at Google as part of Google brain. One day he realizes that we need the enabling technology to pause biological time for patients that are about...

Carb Mouth Rinse Boosts Reps, Reveals CNS Fatigue
Carbohydrate mouth rinsing increases the number of reps to failure across multiple sets of multiple exercises, revealing that supraspinal CNS fatigue is a common effect in strength training workouts. https://t.co/Nj0JxgJIRs

Ukrainian Astronaut Steps Onto Moon, Future Realized
The Moon, 10 minutes after the first Ukrainian sets foot on its surface in the future: https://t.co/uoaw7IQY7a
Use the “Pause‑and‑Reset” Technique to Unblock ADHD Kids
A child psychologist trick: what to do when your ADHD child gets stuck and can’t move forward
A Review So Compelling I Bought the Book Instantly
https://www.stephendiehl.com/posts/no_antimimetics/ this is the first book review in a long while that made me race to purchase. Such outstanding writing.

Digital Twins Simulate Psychedelic Effects for Consciousness Disorders
Digital twins allow virtual clinical trials of psychedelics for disorders of consciousness 🧠↔🧠 | Innovation | Tech for Good. 💬 Using magnetic resonance imaging (MRI), scientists have developed personalized, whole-brain computational models of patients with disorders of consciousness. Using these...

Filming Air Hunger at Sussex’s Seven Sisters for Amazon
Was nice to be back at Seven Sisters in Sussex yesterday where we shot for Air Hunger (doc coming out next month on @amazon in the Netherlands). https://t.co/sy9RwqAgNX
Connect with Peers, Accept Not Being #1, Beat Imposter Syndrome
I used to struggle from imposter syndrome. Here are 2 things that helped me get over it: 1. Meet other people in your industry I remember meeting a bunch of "world-class marketing experts" at a conference. Needless to say, I was nervous. But when...

Discipline Becomes Freedom When Aligned with Your Desired Self
We often think of discipline as something heavy… something we have to force. But what if it’s not punishment at all? What if discipline is simply choosing the life that feels right—again and again—until it becomes natural? Because when your actions align with...

Second Pregnancy Uniquely Reshapes Women's Brain Structure and Function
The effects of a second pregnancy on women’s brain structure and function "These findings show that a second pregnancy uniquely changes a woman’s brain, entailing both convergent and distinct neural transformations." https://t.co/E1QBL4g1t3 https://t.co/Bs4aveEsUE

Tuesday Night Series Boosts Beijing’s Underground Music Scene
For my friends living in Beijing, our Tuesday night series at Raw Material Space is playing a big role in supporting Chinese underground composers and experimental performers, and we've already had exciting young musicians whose work was so good that...

Fictional Sculptures Get Historical Provenance in Baragouin
Baragouin by Kim Schoen. Baragouin is an artists’ book by Los Angeles and Berlin-based artist Kim Schoen. The book is a companion piece to a video work of the same name, filmed in a now-closed residential sculpture showroom in Los Angeles. The...
Mental Pain Originates Within, Not From Others
No one can cause mental pain to you. It is caused by you and no one else but you, in reaction to something that happens around you. #SadhguruWisdom https://t.co/X7sW7kg8Ii

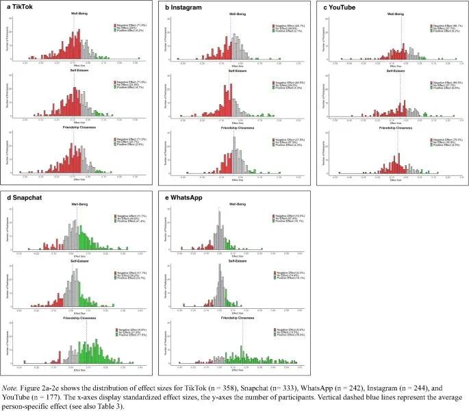
60% of Teens Say Social Media Harms Self‑esteem
Researchers followed 479 teens for 100 days, asking them every single night how they felt. Results: For 60% of teens, social media made them feel worse about themselves, less happy, AND more distant from friends.
Your Mind Deceives Hundreds Daily—Observe the Illusion
Your mind lies to you hundreds of times a day Observe and you will see.

Seville: Sunny Escape From Crowded Megacities
𝐀 𝐒𝐞𝐯𝐢𝐥𝐥𝐚 𝐄𝐬𝐩𝐚ñ𝐚 The land of oranges, flamenco, and tapas. Who would have thought that the first city I would visit in Spain would be Seville? Truth be told, I knew nothing about this city until my wife mentioned it to me...
Football Seen Through a Space Probe’s Lens
Such an insane book idea and I love it. Football from the POV of a space probe

Lower Cholesterol Linked to Reduced Dementia Risk
Does lowering cholesterol harm the brain? A large genetic study suggests lifelong reductions in atherogenic lipoproteins are associated with lower—not higher—dementia risk. https://t.co/QutNZzb4PH https://t.co/T84ZLIKq4A

A Full List Doesn't Cure Inner Emptiness
Listlessness. You can have a full list and still feel completely empty. The problem was never the list. https://t.co/UzosoqtXpY

Japan vs USA 90s Denim Wash Showdown
Orslow made in Japan 105 in 90s sky blue wash 90s made in USA Levi’s 501 in “being 30 years old” wash Full comparison coming soon https://t.co/gSv9fVbTfx
Diane Ackerman Explores Intimacy Within the Infinite
A Cosmic Pastoral – poet Diane Ackerman on the intimate in the infinite and the responsibility of rapture https://t.co/evvyU595DA
Practice Bridges the Gap Between Knowing and Doing
The gap between “I get it” and “I can do it” is practice. Most people never close it.
Bio‑ and Neuro‑sci‑fi Feels Essential, yet Often Dull
Bio- and neuro-themed sci-fi are the only kinds that really make sense to read anymore (as opposed to just reading the news), but most bio- and neuro-themed sci-fi is boring.

Colorado Powers Artemis II, Showcasing Earth’s Stunning View
As Artemis II makes its journey, we’re proud that Colorado plays a key role in powering space exploration. From aerospace innovation to cutting-edge technology, our state is helping make missions like this possible. Check out this ‘amazing’ photo of Earth taken...

Dad Embraces Cargo Bike, Prioritizes Kids Over Cool
Today I bought a cargo bike to pedal my toddler around the lake. Zero cool factor. Maximum dad. If you see a grown man on an oversized e-bike struggling up a hill in Austin... give us a wave lmfao https://t.co/SF7ABnIz8J

Reward A, Expect B? Rethink Your Incentives
Everyone should read "On the Folly of Rewarding A, While Hoping for B” at least once. https://t.co/tF4HGbrweX https://t.co/HDor3NsxBO
Tianshi‑1 Deployment Near 66A Raises Orbital Ambiguity
China's Tianshi-1 appears to have been deployed from the Xinzhengcheng-02 parent satellite; object 66D was cataloged, but has TLEs that put it stationkeeping within 1 km of 66A. More data needed for clarity.
A Conductor’s Touch Turns Vietnamese Buses Into Delightful Journeys
Some of the smallest things bring the highest level of appreciation when traveling. The public buses in Vietnam have a second person working on them. They let you get on and sit down before frantically trying to count your money. Then...

Falcon 9 Streaks over Venice Beach During Evening Walk
falcon 9 over Venice beach this afternoon during an evening dog walk Launched from vandenberg space force base. Gorgeous 🚀🚀🚀 https://t.co/DZF9rrc20C